الترخيم في خطوط النقل الكهربائي sag and tension calculation
بسم الله الرحمن الرحيم
الحمد لله والصلاه والسلام على اشرف الانبياء والمرسلين ام بعد:
الترخيم في خطوط النقل الكهربائي:
في خطوط النقل الكهربائي
تكون الموصلات معلقة على الابراج عن طريق عوازل تعزله عن
جسم البرج ، وفي المسافة بين برجين متتاليتن والتي تعرف بالباع او خطوة البرج يكون السلك معلقا تحت تاثير ثقله ، وثقل ما قد تراكم علية من تاثير ثلوج وتثير ضغط الرياح ان وجدت ، ويتخذ الموصل شكل منحنى تعلق السلاسل catenary curve) ) . والترخم عند اي نقطة هو مقدار انخفاض هذه النقطة عن مستوى نقطة التعليق . ونظرا لاهتمامنا بالترخيم الاقصى فقط حيث انه هو الذي يحدد مقدار الخلوص بين الموصل والارض فانه عند اطلاق كلمة الترخيم فاننا نقصد بها الترخم الاقصى وهو مقدار الانخفاض الحادث للسلك عند اقرب نقاطة من سطخ الارض .
جسم البرج ، وفي المسافة بين برجين متتاليتن والتي تعرف بالباع او خطوة البرج يكون السلك معلقا تحت تاثير ثقله ، وثقل ما قد تراكم علية من تاثير ثلوج وتثير ضغط الرياح ان وجدت ، ويتخذ الموصل شكل منحنى تعلق السلاسل catenary curve) ) . والترخم عند اي نقطة هو مقدار انخفاض هذه النقطة عن مستوى نقطة التعليق . ونظرا لاهتمامنا بالترخيم الاقصى فقط حيث انه هو الذي يحدد مقدار الخلوص بين الموصل والارض فانه عند اطلاق كلمة الترخيم فاننا نقصد بها الترخم الاقصى وهو مقدار الانخفاض الحادث للسلك عند اقرب نقاطة من سطخ الارض .
العوامل التي تؤثر في الترخيم :
يتاثر الترخيم بعدة عوامل نوجزها فما يلي :-
1- وزن السلك WC)) وعاة ما يستخدم وزن السلك لكل وحدة طول كمقياس لوزن السلك ، وكلما زاد وزن السلك زاد الترخيم
.
2- المسافة بين البرجين (الباع L ) وكلما زاد المسافة بين البرجين زاد الترخيم
3- الشد في السلك (T ) وهو من العوامل التي
تؤثر تاثيرا كبيرا في مقدار الترخيم وكلما زاد الشد في
السلك قل الترخيم
4- العوامل البيئية كتراكم الثلوج على الاسلاك وضغط الرياح
5- درجة الحرارة كلما زادت درجة الحرارة تمدد السلك وزاد طولة وزاد الترخيم ويحدث العكس عند انخفاض درجة الحرارة .
حساب الترخيم بين برجين متماثلين
عندما يكون البرجين
متماثلين تكون نقاط تعليق الموصل على نفس الارتفاع وفي هذه الحالة يحدث اقصى ترخيم
في منتصف المسافة بين نقطتي التعليق . كما بالشكل(3-15) .
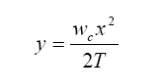
وهذا المنحنى يمكن تقريبه
دون تاثير بدرجة كبيرة في دقة الحسابات بمنحنى تربيعي ، واذا اعتبرنا اكثر النقاط
انخفاضا هي نقطة الاصل فان:
حيث WC هو وزن الموصل لكل متر طولي مقدرا
بالكلوجرام \متر
T الشد ف الموصل مقدرا بالكيلوجرام
X.Y احداثيات اي نقطة على الموصل بالنسبة لنقطة الاصل وكل منهما مقدرة
بالمتر .
ومن الشكل(3-15) اعلاه نجد ان اقصى ترخيم D)) هو قيمة y)) عندما تكون x=L/2 حيث L هي الباع وبالتعويض في معادلة
المنحنى نجد ان :
والخلوص بين الموصل والارض في هذه الحالة:
C=H-D
حيث : H هو ارتفاع نقطة التعلق عن
سطح الارض
Ex(1) :-
احسب مقدار الترخيم لخط نقل كهربائي مثبت بين برجين متماثلين المسافة
بينهما 275m اذا كان وزن الموصل 0.75kg/m واقصى شد يتحمله الموصل هو 800kg/m ومعامل الامان المطلوب هو 2.
Solution:-
اولا : نحسب الشد المسموح به في الموصل
الشد المسموح به = اقصى شد ÷ معامل الامان
ثانيا : نحسب الترخيم Wc=0.85Kg|m. L=275m. T=4000Kg
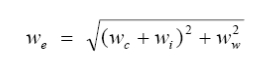
تاثير الثلوج علي الترخيم
عند تراكم طبقه من الثلوج سمكها (t) علي سطح الموصل فانها تضيف وزنا اضافيا يؤثر الي اسفل ويضاف الي وزن
الموصل , وهذا الوزن هو عباره عن وزن الثلج المتراكم .
ولحساب هذا الوزن نحسب اولا حجم طبقة
الثلخ المتراكم لوحدة الاطوال .
حيث dهو قطر الموصل.
ويكون وزن الثلوج المتراكمه (Wi)
مساويا لهذا الحجم مضروبا في كثافة الثلج (P):
وحيث ان وزن الثلج يؤثر راسيا الي اسفل في
نفس الاتجاه مع وزن الموصل فانه يتم اضافته مباشره الي وزن الموصل ويصبح الوزن
الفعلي مساويا لوزن الموصل
مضافا اليه وزن الثلوج ويستخدم هذا الوزن
الفعلي في حساب الترخيم بدلا من وزن الموصل فقط ، اي انه:
تاثير الرياح علي الترخيم
عندما تعرض الموصلات لضغط
رياح مقداره P
Kg\m فانه يتعرض لقوه تؤثر
عليه افقيا مقدارها يساوي حاصل ضرب ضغط الرياح ف المساحه المسقطه للموصل . المساحه
المسقطه للموصل لكل متر
طولي (Ap) _المساحه المظلله تساوي
عدديا قطر الموصل .
اي ان :
وفي حالة تعرض الخط لضغط الرياح بالاضافه الي تراكم الثلوج عليه فان :
حيث :
الترخيم بين برجين مختلفي الارتفاع:
في احيان كثيرة تكون نقاط تعلق الموصل ليست
علي نفس مستوي الارتفاع لاختلاف ارتفاع البرجين كما يحدث عند عبور خط النقل المجرى
مائي او عتد الاضطرار الي ان تكون المسافة بين البرجين اكبر بكثير من الباع
المتوسط فيلزم زيادة ارتفاع البرجين اللذين يثبتان الموصل خلال هذه المسافة
الكيبرة عن ارتفاع الابراج العادي ،وتخدث هذه الخالة ايضا عند مرور خط النقل ف
منطقة جبلية او هضابية حتى وان كانت الابراج لها نفس الاتفاع فان اختلاف منسوب سطح
الارض يتسبب في تكوين الابراج ليست على مستوى واحد مما يجعل نقاط تثبيت الموصل على
البرجين ليست على نفس المستوى كما لو كانت الابراج مختلفة الارتفاع.
وعندما تكون نقطتيا
تثيبت الموصل ليستا على نفس الارتفاع فان النقطة التي يحدث عندها اقصى ترخيم لا تكون
في منتصف المسافة بين البرجين وانما تكون اقرب الي البرج الاقل ارتفاعا ، ولايجاد
الترخيم في هذه الحالة نفرض ان النقطة التي يحدث عندها اقصى ترخيم تبعد عن البرج
الاقل ارتفاعا مسافةx وحيث ان المسافة بين
البرجين هيL فان نقطة اقصي ترخيم تبعد
مسافة L-x عن
البرج الاكبر ارتفاعا، كما بالشكل التالي .
حيث ان :
D1 =
الترخيم محصوبا للبرج القصير
D2 =
الترخيم محسوبا للبرج الطويل
D2 = D2 +h
حيث h هو
الفرق بين ارتفاعي البرجين
والمعادلة اعلاه تخدد
بعد النقطة التي يحدث عندها اقصى ترخيم عن البرج القصير ، فاذا كانت 0<x نحسب
الترخيم D1 مقاسا من البرج القصير . ويكون الخلوص بين الموصل والارض في هذه
الحالة مساويا لفرق بين ارتفاع البرج القصير والترخم .
اما اذا كانت 0≤ x فهذا يعني ان اقل انخفاض للسلك هو ارتفاع البرج القصير ويكون
الخلوص بين الموصل والارض هو ارتفاع البرج القصير .
EX:-
خط نقل كهربائي مثبت
بين برجين ارتفاعهما 45m , 30m والمسافة بينهما 300m . فاذا كان وزن الموصل هو 1kg/m
والشد في الموصل 300kg ، احسب الخلوص بين الموصل والارض.
Solution:-
الفرق بين ارتفاع
البرجين
h = 45 - 30 = 15 m
نخسب المسافة بين
النقطة التي يحدث عندها اقصى ترخيم والبرج القصير
اذن الخلوص بين
الموصل والارض يساوي
C = 30 – 0.625 = 29.375 m
لاتنسى التعليق



%E2%80%AA+-+%D8%A7%D9%86%D9%88%D8%A7%D8%B9+%D8%AE%D8%B7%D9%88%D8%B7+%D8%A7%D9%84%D9%86%D9%82%D9%84+%5B%D9%88%D8%B6%D8%B9+%D8%A7%D9%84%D8%AA%D9%88%D8%A7%D9%81%D9%82%5D.png)

%E2%80%AA+-+%D8%A7%D9%86%D9%88%D8%A7%D8%B9+%D8%AE%D8%B7%D9%88%D8%B7+%D8%A7%D9%84%D9%86%D9%82%D9%84+%5B%D9%88%D8%B6%D8%B9+%D8%A7%D9%84%D8%AA%D9%88%D8%A7%D9%81%D9%82%5D.png)
%E2%80%AA+-+%D8%A7%D9%86%D9%88%D8%A7%D8%B9+%D8%AE%D8%B7%D9%88%D8%B7+%D8%A7%D9%84%D9%86%D9%82%D9%84+%5B%D9%88%D8%B6%D8%B9+%D8%A7%D9%84%D8%AA%D9%88%D8%A7%D9%81%D9%82%5D.png)
%E2%80%AA+-+%D8%A7%D9%86%D9%88%D8%A7%D8%B9+%D8%AE%D8%B7%D9%88%D8%B7+%D8%A7%D9%84%D9%86%D9%82%D9%84+%5B%D9%88%D8%B6%D8%B9+%D8%A7%D9%84%D8%AA%D9%88%D8%A7%D9%81%D9%82%5D.png)

%E2%80%AA+-+%D8%A7%D9%86%D9%88%D8%A7%D8%B9+%D8%AE%D8%B7%D9%88%D8%B7+%D8%A7%D9%84%D9%86%D9%82%D9%84+%5B%D9%88%D8%B6%D8%B9+%D8%A7%D9%84%D8%AA%D9%88%D8%A7%D9%81%D9%82%5D.png)
%E2%80%AA+-+%D8%A7%D9%86%D9%88%D8%A7%D8%B9+%D8%AE%D8%B7%D9%88%D8%B7+%D8%A7%D9%84%D9%86%D9%82%D9%84+%5B%D9%88%D8%B6%D8%B9+%D8%A7%D9%84%D8%AA%D9%88%D8%A7%D9%81%D9%82%5D.png)
%E2%80%AA+-+%D8%A7%D9%86%D9%88%D8%A7%D8%B9+%D8%AE%D8%B7%D9%88%D8%B7+%D8%A7%D9%84%D9%86%D9%82%D9%84+%5B%D9%88%D8%B6%D8%B9+%D8%A7%D9%84%D8%AA%D9%88%D8%A7%D9%81%D9%82%5D.png)

%E2%80%AA+-+%D8%A7%D9%86%D9%88%D8%A7%D8%B9+%D8%AE%D8%B7%D9%88%D8%B7+%D8%A7%D9%84%D9%86%D9%82%D9%84+%5B%D9%88%D8%B6%D8%B9+%D8%A7%D9%84%D8%AA%D9%88%D8%A7%D9%81%D9%82%5D.png)


%E2%80%AA+-+%D8%A7%D9%86%D9%88%D8%A7%D8%B9+%D8%AE%D8%B7%D9%88%D8%B7+%D8%A7%D9%84%D9%86%D9%82%D9%84+%5B%D9%88%D8%B6%D8%B9+%D8%A7%D9%84%D8%AA%D9%88%D8%A7%D9%81%D9%82%5D.png)
%E2%80%AA+-+%D8%A7%D9%86%D9%88%D8%A7%D8%B9+%D8%AE%D8%B7%D9%88%D8%B7+%D8%A7%D9%84%D9%86%D9%82%D9%84+%5B%D9%88%D8%B6%D8%B9+%D8%A7%D9%84%D8%AA%D9%88%D8%A7%D9%81%D9%82%5D.png)




شكرا
ردحذفشكر جزيل على شرح
ردحذف